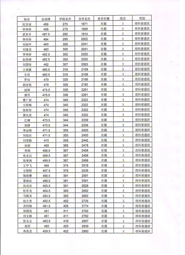
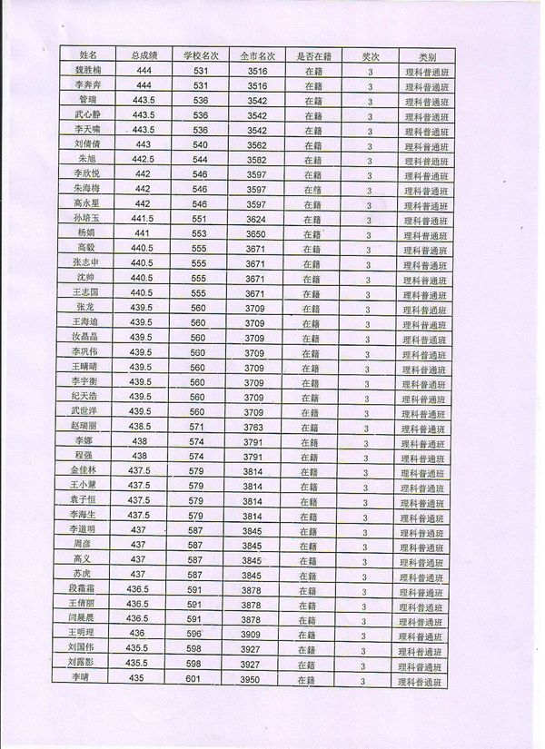
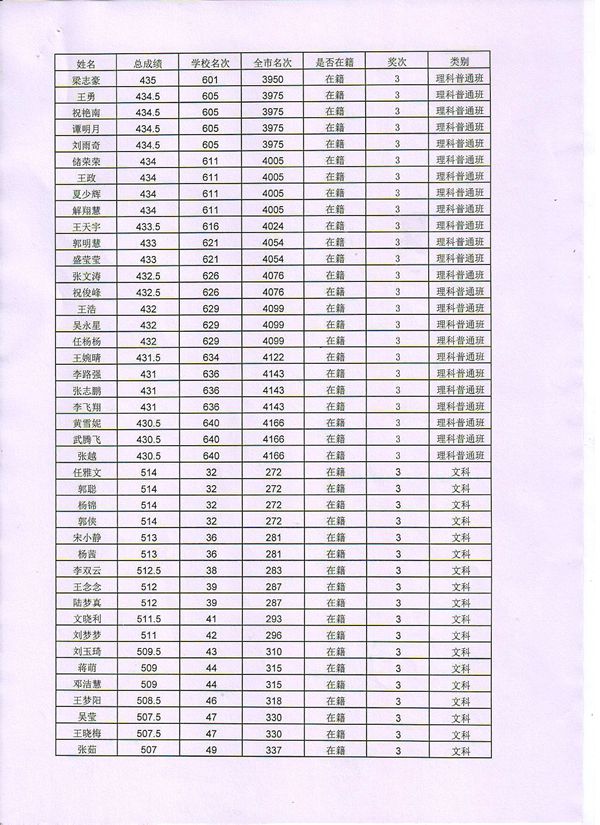
2017年1月19日,我校高三全市统考成绩优秀学生颁奖会在图南会堂举行,校长王学哲,党委书记、副校长刘年,校长助理代树峰,高三班主任,670名优秀学生参加颁奖会,代树峰主持会议。
会上,王学哲校长发表讲话,祝贺获奖同学取得优异成绩,希望同学们吃别人吃不了的苦,争分夺秒,沉潜进取,抓住最后的100多天黄金时光,助推人生进入新境界。校长助理代树峰宣读获奖学生名单。最后举行了颁奖仪式。

主席台:王学哲(左四)、刘年(右四)、代树峰(左三)、袁春光(右一)、刘焕山(右二)、
武高峰(右三)、王学东(左二)、罗明(左一)

参会师生







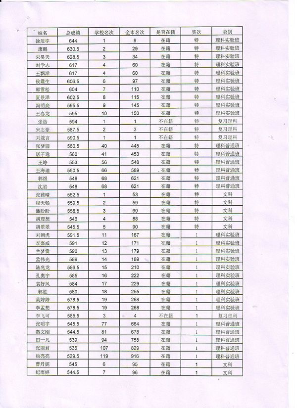
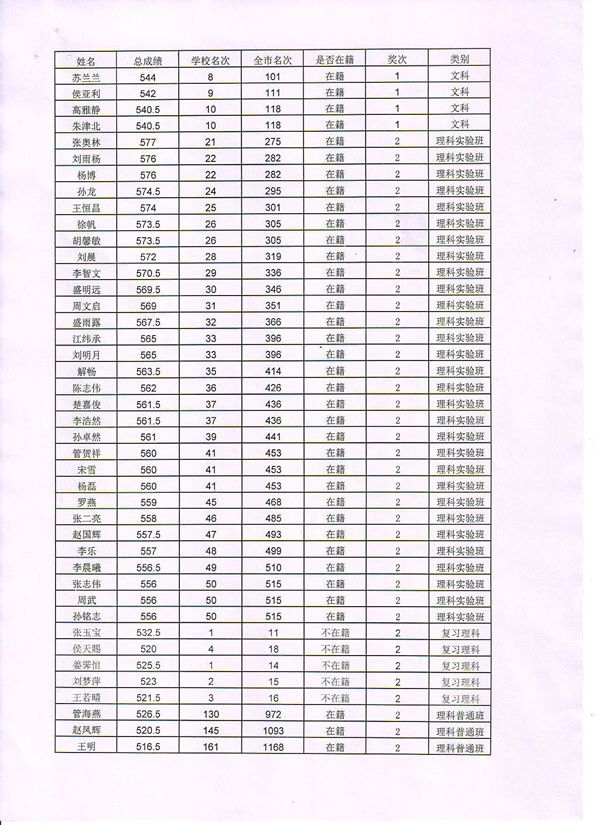
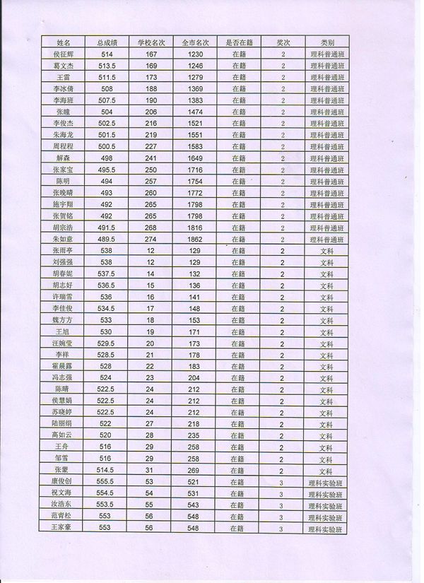
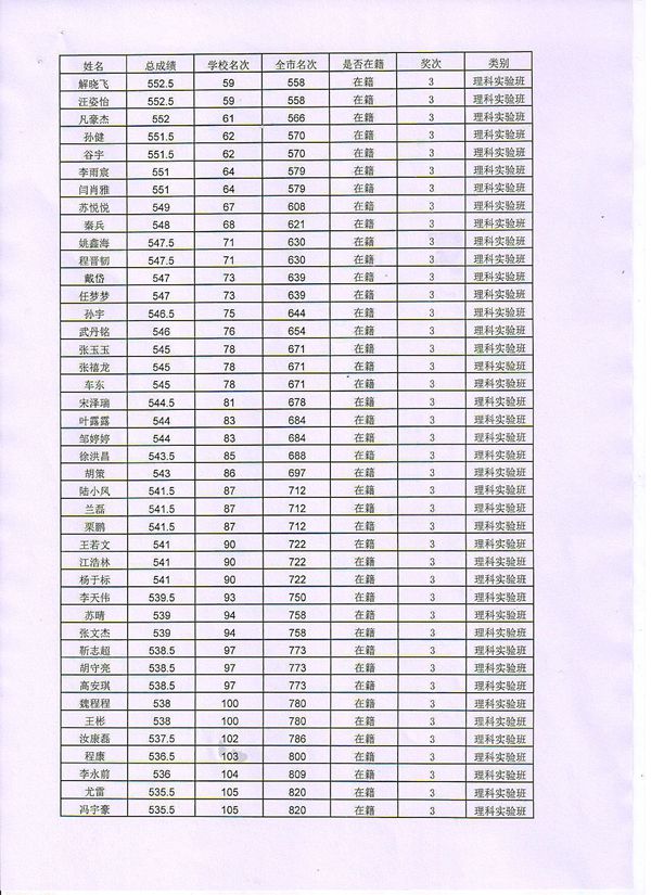
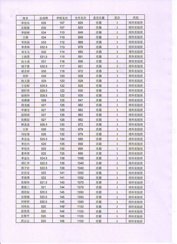
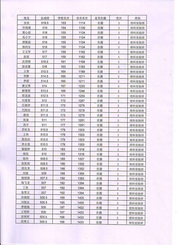
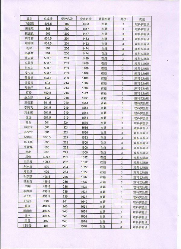
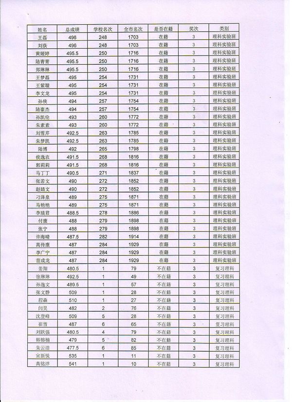
获奖学生














